重磅|枣庄市山亭区、台儿庄区义务教育招生范围出炉
2018年08月02日 16:07:00
来源:齐鲁壹点
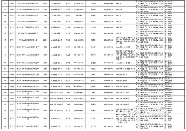
原标题:重磅|枣庄市山亭区、台儿庄区义务教育招生范围出炉 1日,枣庄市教育局发布了山亭区、台儿庄区的
推荐

凤凰资讯官方微信
视频
-
李咏珍贵私人照曝光:24岁结婚照甜蜜青涩
播放数:145391
-
金庸去世享年94岁,三版“小龙女”李若彤刘亦菲陈妍希悼念
播放数:3277
-
章泽天棒球写真旧照曝光 穿清华校服肤白貌美嫩出水
播放数:143449
-
老年痴呆男子走失10天 在离家1公里工地与工人同住
播放数:165128













